Langkah Pengurusan Projek Reka Bentuk





Rbt T1 Bab 2 Pengurusan Projek

Rbt T1 Bab 2 Pengurusan Projek

Reka Bentuk Teknologi Bab 2 Pengurusan Projek

Reka Bentuk Teknologi Bab 2 Pengurusan Projek

Reka Bentuk Teknologi Bab 2 Pengurusan Projek

Reka Bentuk Teknologi Bab 2 Pengurusan Projek

Langkah Pengurusan Pelaksanaan Projek Docx

Langkah Pengurusan Pelaksanaan Projek Docx

Bab 2 Pengurusan Projek Pages 1 17 Text Version Anyflip

Bab 2 Pengurusan Projek Pages 1 17 Text Version Anyflip

Rbtt1bab2pengurusanprojek 170501132949 Pages 1 30 Flip Pdf Download Fliphtml5

Rbtt1bab2pengurusanprojek 170501132949 Pages 1 30 Flip Pdf Download Fliphtml5

Rbtt1bab2pengurusanprojek 170501132949 Pages 1 30 Flip Pdf Download Fliphtml5

Guru membimbing murid.

Langkah pengurusan projek reka bentuk. B tempoh masa i. Rbt tingkatan 1 bab 2 pengurusan projek. Peruntukan kewangan dengan baik. Terdiri daripada tiga komponen.

Kemahiran hidup tingkatan 2 reka bentuk dan penghasilan projek a. Merancang konsep elemen dan prinsip reka bentuk. 2 2 reka bentuk mekanikal. Fungsi berfungsi de.

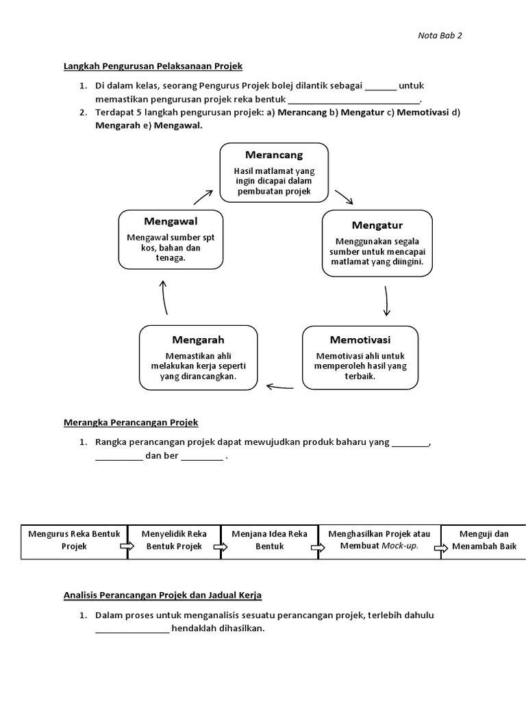
A guide to the project management body of knowledge pmbok guide terbitan project management institute usa 2004 mengenalpasti 42 proses pengurusan projek yang dikaitkan dengan lima kumpulan proses dan terkandung dalam sembilan aspek atau bidang pengetahuan pengurusan projek. Start studying rbt tingkatan 1 bab 2. 2 1 3 langkah pengurusan pelaksanaan projek pengurusan pelaksanaan projek melibatkan langkah kerja untuk memperoleh peralatan bahan dan kemahiran supaya projek dapat disiapkan. Pernyataan masalah masalah keperluan mengumpul maklumat dan data menyenarai pelbagai alternative penyelesaian masalah dalam bentuk lakaran bebas.

Bab 2 pengurusan projek 2 1 pengurusan projek reka bentuk 1. Faktor reka bentuk 1. B memilih dan menggabungkan sekurang kurangnya dua bidang ilmu yang telah dipelajari untuk produk yang akan dihasilkan. Cara membuat acuan menggunakan silikon.

Tempoh kerja yang dirancang untuk menyempurnakan sesuatu projek. Terbahagi kepada skop produk dan skop projek. Pengurusan projek aktiviti kerja melibatkan proses kerja iaitu skop kerja tempoh masa dan kos projek 1 skop kerja terdiri daripada skop produk dan projek i skop produk kualiti ciri dan fungsi reka bentuk ii skop projek kepimpinan dan pengurusan terhadap masa bahan maklumat ruang dan ahli kumpulan. Contoh idea penggunaan motor dc.

Jadual perancangan juga. A merancang konsep reka bentuk produk kepada fungsi atau fungsi kepada reka bentuk produk. 2 3 reka bentuk elektrik. 2 1 pengurusan projek reka bentuk 1 2 1 pengurusan projek reka bentuk 2 ujian bab 2.

Perancangan pembinaan dan pengubahsuaian projek. Langkah pengurusan pelaksanaan projek 1 buat perancangan projek rekabentuk kaedah pembinaan kos masa pekerja 2 penjadualan anggaran masa untuk projek siap untuk mengelakkan pembaziran masa dan kos 3 pengawalan kawal penggunaan sumber kos kualiti tenaga bahan dan sebagainya smk chanis 26700 muadzam shah pahang 12. A menjana idea reka bentuk produk secara individu. Pasukan projek perlu memiliki kepakaran pengetahuan dan pengalaman dengan sesuatu projek organisasi projek perlu dibentuk dalam pengurusan pelaksanaan projek bagi memudahkan pelaksanaanya.

C kos projek i.

Bab 2 Pengurusan Projek Reka Bentuk

Bab 2 Pengurusan Projek Reka Bentuk

Rbt T1 Bab 2 Pengurusan Projek

Rbt T1 Bab 2 Pengurusan Projek

Cikguali Pdpc Obline Rbt Ting1 Bab2 2 1 3 Langkah Pengurusan Pelaksanaan Projek Youtube

Cikguali Pdpc Obline Rbt Ting1 Bab2 2 1 3 Langkah Pengurusan Pelaksanaan Projek Youtube

Reka Bentuk Teknologi Bab 2 Pengurusan Projek

Reka Bentuk Teknologi Bab 2 Pengurusan Projek

Bab 2 Pengurusan Projek Pages 1 17 Text Version Anyflip

Bab 2 Pengurusan Projek Pages 1 17 Text Version Anyflip

Bab 2 Pengurusan Projek Reka Bentuk Rbt

Bab 2 Pengurusan Projek Reka Bentuk Rbt

Contoh Soalan Rbt Tingkatan 2 Bab 1 Soalan L

Contoh Soalan Rbt Tingkatan 2 Bab 1 Soalan L

Rbt T1 Bab 2 Pengurusan Projek

Rbt T1 Bab 2 Pengurusan Projek

Reka Bentuk Teknologi Bab 2 Pengurusan Projek

Reka Bentuk Teknologi Bab 2 Pengurusan Projek

Bab2pengurusanprojek 180110012000 Pdf Bab 2 Pengurusan Projek 2 1 Pengurusan Projek Reka Bentuk Disediakan Oleh Mazlina Binti Yusoff Pengurusan Projek Course Hero

Bab2pengurusanprojek 180110012000 Pdf Bab 2 Pengurusan Projek 2 1 Pengurusan Projek Reka Bentuk Disediakan Oleh Mazlina Binti Yusoff Pengurusan Projek Course Hero

Bab 2 Pengurusan Projek 1

Bab 2 Pengurusan Projek 1

Bab 2 Pengurusan Projek Pdf Google Drive

Bab 2 Pengurusan Projek Pdf Google Drive

Pengurusan Projek

Pengurusan Projek

Rbt T1 Bab 2 Pengurusan Projek By Azlyzamohdazman Issuu

Rbt T1 Bab 2 Pengurusan Projek By Azlyzamohdazman Issuu

Source : pinterest.com