Matlamat Dan Strategi Organisasi Perniagaan





Rancangan Perniagaan

Rancangan Perniagaan

Rancangan Perniagaan

Rancangan Perniagaan

Rancangan Perniagaan

Rancangan Perniagaan

Pemasaran Restoran

Pemasaran Restoran

Pemasaran Restoran

Pemasaran Restoran

Rancangan Perniagaan Seni Reka Fesyen

Rancangan Perniagaan Seni Reka Fesyen

Rancangan Perniagaan Seni Reka Fesyen

Daft 2006 m s 8.

Matlamat dan strategi organisasi perniagaan. Misi syarikat menyediakan perkhidmatan yang berkualiti pantas dan fleksibel bagi mencapai tahap kepuasan pengguna seratus peratus. Pengurusan adalah pencapaian matlamat organisasi secara efektif dan efisien melalui proses merancang mengorganisasi memimpin dan mengawal sumber sumber bagi mencapai matlamat organisasi. Strategi perniagaan merupakan pelan yang praktikal bagi mencapai misi dan objektif organisasi. Untuk menjadi sebuah organisasi sumber terulung dinamik serta berdaya saing menerusi pakatan berpasukan yang teguh dan mantap.

Objektif syarikat matlamat ataupun objektif utama syarikat adalah. Menggunakan tenaga kerja sumber manusia dengan semaksima mungkin tanpa berlaku lebihan dan kurangan tenaga kerja. Setiap organisasi perniagaan perlu mempunyai visi misi dan objektif yang selari dengan jenis perniagaan. Matlamat dan strategi organisasi misi visi organisasi ingin menjadikan kafe internet qfinity ini sebagai salah sebuah kafe internet yang popular berpengaruh dan mendominasi seluruh kawasan kilang lama kulim.

Keadaan persekitaran dalaman dan luaran perniagaan yang sentiasa berubah boleh mempengaruhi pencapaian matlamat dan objektif perniagaan. Kedua dua strategi dan struktur adalah elemen penting untuk menjalankan perniagaan dan juga syarikat syarikat yang tidak mempunyai strategi dan struktur formal berkemungkinan masih mempunyai kedua dua dalam satu bentuk atau yang lain. Selain itu strategi ini dapat menjimatkan masa dan kos syarikat untuk mengedarkan hasil syarikat kami ke tempat yang lebih jauh. Struktur organisasi adalah susun atur rasmi hierarki syarikat.

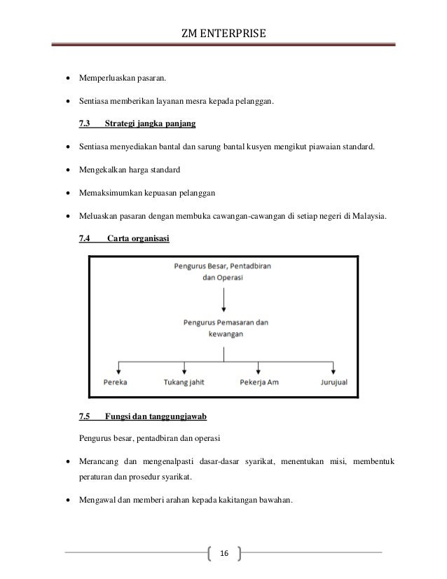
Zm enterprise 7 0 rancangan organisasi 7 1 matlamat dan strategi organisasi misi organisasi memaksimumkan keuntungan perniagaan dalam jangka masa pendek dan jangka masa panjang. Kemudian melibatkan analisis situasi persaingan dengan mengambil kira kedua dua persekitaran luaran dan faktor organisasi yang berkaitan. Selepas analisis tersebut pengurus boleh memulakan dengan membentuk atau merumuskan pelbagai strategi yang boleh digunakan untuk mencapai matlamat strategik. Matlamat organisasi matlamat yang ingin dicapai oleh organisasi adalah menjana pendapatan melalui keuntungan yang diperoleh daripada hasil jualan.

Rancangan Perniagaan

Rancangan Perniagaan

Rancangan Perniagaan

Rancangan Perniagaan

Isi Kandungan Pi Pages 1 18 Flip Pdf Download Fliphtml5

Isi Kandungan Pi Pages 1 18 Flip Pdf Download Fliphtml5

Rancangan Perniagaan

Rancangan Perniagaan

Organisasi Dan Pengurusan

Organisasi Dan Pengurusan

Perancangan Strategik Berorientasikan Pasaran Pdf

Perancangan Strategik Berorientasikan Pasaran Pdf

Rumusan Ciknad Docx 9 0 Rumusan Dan Cadangan 9 1 Perancangan Dengan Rancangan Perniagaan Yang Lengkap Ini Perniagaan Ini Diyakini Dapat Dikembangkan Course Hero

Rumusan Ciknad Docx 9 0 Rumusan Dan Cadangan 9 1 Perancangan Dengan Rancangan Perniagaan Yang Lengkap Ini Perniagaan Ini Diyakini Dapat Dikembangkan Course Hero

Rancangan Perniagaan

Rancangan Perniagaan

Isi Kandungan Pi Pages 1 18 Flip Pdf Download Fliphtml5

Isi Kandungan Pi Pages 1 18 Flip Pdf Download Fliphtml5

Bellbo Sdn Bhd Docx Pengurusan Perniagaan An015 Syarikat Bellbo Sdn Bhd Tarikh Serahan Tugas 6 Oktober 2017 Disediakan Untuk En Amri Bin Abd Khalid Course Hero

Bellbo Sdn Bhd Docx Pengurusan Perniagaan An015 Syarikat Bellbo Sdn Bhd Tarikh Serahan Tugas 6 Oktober 2017 Disediakan Untuk En Amri Bin Abd Khalid Course Hero

Https Adoc Pub Download Mgm3101 Prinsip Pengurusan 3 30 Prasyarat Tiada Kursus Ini M Html

Https Adoc Pub Download Mgm3101 Prinsip Pengurusan 3 30 Prasyarat Tiada Kursus Ini M Html

Doc Pengajian Perniagaan Pengal 2 Bab 1 Nurul Natasha And Ahwan Khoo Academia Edu

Doc Pengajian Perniagaan Pengal 2 Bab 1 Nurul Natasha And Ahwan Khoo Academia Edu

12890737 Penyediaan Pelan Perniagaan

12890737 Penyediaan Pelan Perniagaan

Pdf Strategi Pengurusan Komunikasi Dalam Membangun Masyarakat Nelayan

Pdf Strategi Pengurusan Komunikasi Dalam Membangun Masyarakat Nelayan

Source : pinterest.com